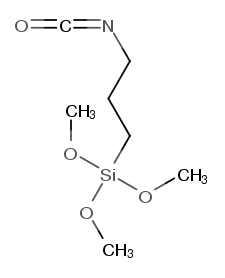
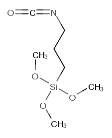
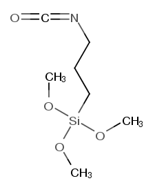
3-Isocyanatopropyltrimethoxysilane (ICPTMS)
CAS No.: 15396-00-6
ICPTMS is an isocyanate-functional silane used as a coupling agent and adhesion promoter. It improves bonding between organic polymers and inorganic substrates such as glass, metal and mineral fillers, and is suitable for polyurethane/urethane, RTV silicone, paints and coatings.
| Product name | 3-Isocyanatopropyltrimethoxysilane (ICPTMS) |
| CAS No. | 15396-00-6 |
| Molecular formula | C7H15NO4Si |
| Structural formula |  |
| Appearance | Colorless, transparent liquid |
| Purity | ≥ 98% |
| Boiling point (760 mmHg) | 203.8 °C |
| Flash point (closed cup) | ≥ 77.1 °C |
| Color (APHA / Pt-Co) | ≤ 30 |
| Density (25 °C, g/cm³) | 1.050 – 1.090 |
| Refractive index (nD25) | 1.4100 – 1.4300 |
| NCO content (%) | ≥ 20.07 |
Main applications
Surface treatment: improves adhesion of organic and inorganic coatings on glass, metals and mineral substrates.
Adhesives & sealants: silane crosslinker and adhesion promoter for moisture-curable PU/urethane and RTV silicone systems.
Coatings: used to enhance adhesion and durability of industrial paints and protective coatings.
Polymer modification: reacts with compounds containing active hydrogen (amines, hydroxyls) to introduce silane functionality.